The Social Cost of Carbon (SCC) is an estimate of the monetized damages from a marginal increase in carbon dioxide emissions in a given year. The SCC is important to the design of climate change policies intended to reduce CO2 emissions because the marginal benefit of reducing emissions is the avoided marginal damages from emissions. Basic economic principles tell us that policies should reduce emissions until the marginal benefit equals the marginal cost. The calculation of the SCC by economists has allowed federal agencies such as the U.S. Environmental Protection Agency to conduct cost-benefit analysis of regulatory actions that reduce such emissions.

The inclusion of the SCC often changes the evaluation of many other environmental regulations from creating net costs to net benefits. For example, according to Michael Greenstone et al., the EPA estimate of the costs of its greenhouse gas (GHG) tailpipe emission regulation for light-duty gasoline-powered cars and trucks (which required increases in average miles-per-gallon fuel efficiency) was $350 billion. Without taking the SCC into account, the various benefits of the regulation—such as increased energy security from reduced oil imports, and reduced local air pollutants, noise, and congestion—totaled only $280 billion. However, once the EPA added the SCC as a quantified benefit, what would have been a net cost of $70 billion from the rule became a net benefit of $100 billion.

The SCC number that the EPA and other federal agencies now use was produced by an interagency working group (IWG) and presented first in 2010 and then revised in 2013 (and corrected in minor ways in 2015). Between 2010 and 2013, the IWG significantly raised its estimate of the SCC for 2020 CO2 emissions from $7, $26, or $42 per ton emitted (using discount rates of 5 percent, 3 percent and 2.5 percent, respectively) to $12, $42, or $62 per ton.

Such quantification suggests the SCC is derived by rigorous economic methods, with a solid foundation in theory and actual empirical evidence about how economic performance is affected negatively by increased atmospheric CO2 levels. In fact, the SCC is not such a number. Existing estimates are based not on testable (let alone tested) economic models of how changes in climate generate economic costs, but on conjecture, guesswork, and sometimes simply by asking “experts”—the people who construct SCC estimates—what they think the damages from climate change might be.

How the Scc Is Derived

The quantitative SCC estimates used in government rulemaking come from Integrated Assessment Models (IAMs). According to William Nordhaus, the creator of the first IAM, the Dynamic Integrated Climate-Economy (DICE) model, three IAMs are the basis for “virtually all” SCC estimates. Of 27 studies producing independent estimates of the SCC over the period 1980–2012, 19 were different versions of these three IAMs, while the eight others were based on one of the three. All three IAMs are structurally similar.

IAMs are computer models whose equations link changes in GHG emissions to changes in atmospheric GHG concentration and future temperatures, and then link changes in future temperatures to changes in future economic output and consumption. The relationship between GHG concentration and temperature is the key focus of climate science and will not be discussed here, although recent empirical work in climate science suggests that climate may not be nearly as sensitive to increases in atmospheric GHG concentration—with smaller expected temperature increases—than IAMs assume. Instead, I will examine the purely economic relationship between temperature and gross domestic product.

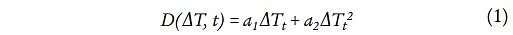
Climate damage function / In DICE and similar IAMs, future net output (and hence potential consumption) decreases as a result of damage from change in average surface temperature, as well as by amounts spent to reduce GHG emissions. Damage from rising temperatures, in turn, is assumed to increase with the change in temperature. In DICE, the damage D from average global temperature change ∆T at time t is assumed to be

Regulation - Spring 2016 - Article 4 - Equation 1

where a1 and a2 are positive time-invariant constants. If we let Y(t) be gross output and Q(t) be the output net of climate damages and mitigation expenses in any given time period, and m(t) be the fraction of output devoted to GHG mitigation, then in DICE the net output in any period available for consumption is

Regulation - Spring 2016 - Article 4 - Equation 2

As one can see from equations (1) and (2), assuming that one has accurately measured the globally averaged temperature change, ∆Tt , in equation (1), the damages from climate change are entirely dependent upon the magnitude of the coefficients a1 and a2. If these are positive, then equation (1) implies that damages from climate change increase with rising average temperatures.

Time series? / A quick look at historical time series data does not suggest that rising average surface temperature has been accompanied by aggregate economic harm. If we make a quick comparison between Figures 1 and 2, which depict the time trends in temperature and real (inflation adjusted) GDP per capita in developed countries since 1880 or so, one might well suppose that rising temperatures have generated not economic damage but an economic benefit in the form of increased real per-capita GDP. Comparing these two figures, it is clear that when temperatures were relatively low, so too was real GDP per capita in developed countries. As temperatures increased relative to the 1951–1980 norm beginning in the late 1940s, so too did developed country real GDP per capita. The basic time series relationship between temperature and real GDP per capita depicted in Figures 1 and 2 suggests that increasing average surface temperatures increase real GDP per capita rather than the opposite.

Of course, this comparison is much too simplistic. The question of interest is how increasing average surface temperature would affect real GDP per capita, holding all else constant. The comparison between Figures 1 and 2 does not hold all else constant. All sorts of important changes have occurred in developed countries since the late 1940s. Many of those changes—such as remarkable increases in productivity and the pace of technological innovation—are known to have boosted per-capita GDP.

Such changes must be statistically controlled if one is to isolate the effect of average surface temperature on real GDP per capita. Indeed, when a contemporary social scientist or policymaker familiar with social science–based policy looks at the climate damage function given by equation (1), her first instinct is likely to presume that the coefficients a1 and a2 are estimated empirically from historical data in a multiple regression in which economic output is the dependent variable and average surface temperature is among a number of explanatory variables and controls.

However, in no version of DICE (or any other IAM, to my knowledge) has equation (1) been derived in this way. Instead, the DICE damage function has been built entirely by aggregating estimates of damages from climate change for particular economic sectors and regions of the world.

Nordhaus and Boyer / Until 2013, Nordhaus and colleagues reviewed existing empirical studies of how temperature affected different economic sectors and chose the estimated effects from those studies that they believed to be the best. For the obvious reason that temperature and precipitation directly affect agricultural productivity (especially for non-irrigated crops), the effect of temperature change on agriculture has been the most intensively studied of any sectoral impact. Nordhaus used such studies without major adjustment.

Regulation - Spring 2016 - Article 4 - Figure 1

Studies had been done of the economic effect of sea level rise, but because these failed to include the effect of storms, undeveloped land, and the cost of resettlement, Nordhaus et al. made upward adjustments to those numerical estimates. After noting that sea level rise might double the economic cost of coastal storms to the United States, Nordhaus and Joseph Boyer stated that it was “reasonable” to adjust upward published estimates of that cost from 0.0019 percent of income to 0.1 percent.

For most other categories of potential economic harm, Nordhaus and Boyer did not rely upon numerical estimates from previous studies because such studies did not exist. They estimated health effects by using a single 1996 study on the years of life lost from climate-related diseases including malaria, various tropical diseases, dengue fever, and pollution. To estimate the years of life lost from a 2.5°C warming, they used the coefficients from a regression of the log of years lost on mean regional temperature from the same study, assumed that one-half of the years lost estimated in the study for the period 1990–2020 would be lost from a 2.5°C warming, and “judgmentally” adjusted the years lost for each sub-region of the world. As for the effect of climate change on both human settlements—by which they mean cities and towns, especially those exposed to rising sea level—and natural ecosystems, “given the lack of any comprehensive estimates,” Nordhaus and Boyer simply assumed that every sub-region had willingness to pay to avoid climate “disruption” (associated with a 2.5°C temperature increase) of 1 percent of the capital value of climate-sensitive human settlements and natural ecosystems, (with the dollar value of such climate-sensitive systems assumed to vary between 5 and 25 percent of sub-regional output).

As for potentially catastrophic effects of climate change—such as “wholesale reorganizations of North Atlantic and even global climate systems” which, they say, “climate research” has shown to have occurred in the past over periods “as short as a decade”—there were no studies at all for Nordhaus and Boyer to examine for estimates. Instead, they asked a group of unidentified experts of undisclosed size to attach a probability to a permanent loss of 25 percent or more of global income caused by global warming of different magnitudes. The experts on average thought that the probability of such catastrophic harm was only 0.5 percent for a 3°C warming and 3.4 percent for a 6°C warming (both occurring in 2090). However, in light of what they called “growing” scientific concerns about catastrophic warming, Nordhaus and Boyer doubled the survey estimates. Using a particular rate of relative risk aversion to catastrophic climate loss in their utility (income) function, they then used these probabilities to derive estimates of willingness to pay to avoid harm from catastrophic climate change of between 0.45 and 1.9 percent of income for a 2.5°C warming and between 2.5 and 10.8 percent of income for a 6°C warming. These estimates of the cost of catastrophic harm from climate change (or in their terms, willingness to pay to avoid such harm) are a very big fraction of total harm estimated in the DICE model, making up (by the 2007 version) “approximately half” of the estimated damages from a 6°C climate change.

 Regulation - Spring 2016 - Article 4 - Figure 2

To derive the sort of global damage function given by equation (1), Nordhaus and Boyer aggregated all the damage estimates by sectors for each region for two temperature increases, 2.5°C and 6°C. For each region, they then solved for the population-weighted or output-weighted quadratic equation of the form given in (1) that passes through the harm and temperature change points for 0°, 2.5°C, and 6°C. This is where the coefficients a1 and a2 in equation (2) come from in the damage function for each region. The global damage function coefficients come about when the (weighted) regional functions are aggregated to generate a global damage function.

This same basic procedure for generating the economic harm from climate change was followed in the 2000 and the 2007 DICE models. The DICE 2007 version of the equation (1) damage function set a1 = 0 and a2 = 0.00284. With those coefficients, the DICE 2007 function is shown in Figure 3.

As can be seen in Figure 3, what Nordhaus calls the “major revisions” incorporated in the 2007 model—“recalibrating the costs of catastrophic damages, refining the estimates for regions with high temperature changes, and using revised estimates of the overall impact of low damages”—tended to shift the damage function D(t) up slightly.

When equation (1) is estimated with only a positive a2 coefficient and a1 equal to zero, generating the Figure 3 DICE damage function, then DICE says that any temperature increase above the present level causes harm. Without a persuasive theory that current temperatures are optimal, this result (and the zero intercept in Figure 3 that generates it) seems unjustified.

Regulation - Spring 2016 - Article 4 - Figure 3

FUND and PAGE / The two other IAMs, FUND and PAGE, generate climate damage functions that are similar to the DICE damage function, but there are some important differences. Perhaps the most important is that FUND allows for explicit harm-reducing adaptation to sea level rise and also assumes that increasing wealth reduces the harm to the energy sector and human health. Because of those differences, as shown by Figure 4, one (now dated) version of FUND estimated net global benefits—not harm—from temperature change less than or equal to 2.5°C.

Like FUND, PAGE explicitly allows for adaptation and differentiates between adaptation in developed versus undeveloped countries, assuming—more or less arbitrarily—that developed countries can eliminate 90 percent of the adverse effects from temperature increases above 2°C, but undeveloped countries can eliminate only 50 percent of adverse effects, which occur for any positive temperature increase. Because of adaptation, PAGE damages are always less than DICE damages. Like DICE, however, PAGE does not mathematically permit the possibility that small temperature increases could actually generate benefits rather than damage. Hence, PAGE damages are always above FUND damages.

Revised DICE / IAMs are subject to continual revision, and the damage functions shown in Figure 4—used in the 2010 IWG Report on the SCC—are not the damage functions generated by the newest versions of DICE, FUND, and PAGE. As described by the IWG in 2013, all three IAMs were revised in ways that increased estimated climate damages. DICE was revised to include damages from sea level rise and assumed (similarly as it does for damages from rising temperatures) those damages are an increasing quadratic function of the change in sea level (with sea level damages given by a function of the form Ds = ɑ∆s2 where Ds gives damages and s represents the change in sea level).

Damages from sea level are also explicitly modeled by PAGE. Although they increase more slowly than in DICE (with Ds = ɑ∆s0.7), the PAGE model revision greatly reduces its assumed effectiveness of human adaptation to changing climate (from eliminating 50–90 percent of economic sector damages from warming of 1–2°C down to eliminating only 15–30 percent of such damages). Moreover, the new version of PAGE assumes that nothing can be done to adapt to sea level rises greater than 0.25 meters (about 10 inches).

An even more recent revision of DICE moves it even further away from any connection to actual empirical evidence about the effect of climate change on different economic sectors. Although it retains the basic quadratic functional form given by equation (1), the most recent version of DICE (created in 2013) uses a different approach to obtain estimates for the damage function D(t). Creators of the new model did not go through the empirical literature on the harm from climate change for various economic sectors and regions, picking and choosing and adjusting estimated regional effects and then aggregating them to get a global damage function. Rather, DICE 2013R (as it is called) simply uses the estimated global damages from climate change presented in a meta-analysis of climate change damage studies published in 2009 by Richard Tol (the creator of the original FUND IAM).

Regulation - Spring 2016 - Article 4 - Figure 4

This meta-analysis reported that the mean estimate of global damages from a 3°C warming was 3 percent of global GDP. To generate the damage function D(t) for the 2013 version of DICE, Nordhaus and Paul Sztorc statistically found the quadratic functional form that best fit the damage estimates surveyed by Tol’s 2009 paper. Then, because the models surveyed by Tol omit some deleterious effects of climate change (such as a loss of biodiversity and increased civil war), the harm from extreme events (such as shutdown or weakening of the North Atlantic meridional circulation pattern), and uncertainty (over essentially everything), Nordhaus then raised Tol’s central estimate of the loss in global GDP from a 3°C warming from 3 percent to 3.75 percent. Along with data points from the damage estimates studied by Tol and the IPCC’s 2007 estimated range, the 2013 version of the DICE damage function appears in Figure 5.

Why Climate Damage Functions Overestimate Damages

Prior to 2013, all versions of DICE were built upon the statistical relationship between temperature and various kinds of harm—reduced output, increased incidence of climate-related disease, and so on—estimated in studies done by other researchers. Thus the reliability and validity of the crucial D(t) function in DICE depends upon the reliability and validity of the underlying category-specific damage functions. The problem with virtually all of these category-specific damage functions is that they were generated by studies that were virtually guaranteed to overestimate the effect of climate on the outcome variable of interest (output, disease incidence, etc.).

Yield-per-acre studies / Agronomists have long studied the empirical relationship between average temperature during the growing season and yield per acre. From such studies one can estimate the reduction in yield from an increase in temperature deemed likely by climate models (such as 2.5°C). This output reduction then can be multiplied by prices to get an estimate of the economic effect of climate change on agriculture.

Economists objected to this approach because one cannot simply assume a fixed relationship between climate and productivity. Farmers choose crops and crop-growing practices that are optimal for a particular climate. At any given time when one looks cross-sectionally at, say, corn yields per acre as a function of average temperature across corn-growing regions of the United States, one observes yields given the equilibrium income-maximizing choices of farmers regarding crop types and growing practices. Economists who took this approach (sometimes called the Ricardian approach) generally found much lower and even positive effects from rising temperature on agriculture than agronomy-based studies estimated.

Econometric estimation of the effect of climate on agricultural yields has been further advanced by subsequent work by Wolfram Schlenker and colleagues showing that increasing temperatures would be more harmful to non-irrigated (dryland) agriculture than irrigated agriculture and that episodes of extreme heat sharply depress yields for corn, soybeans, and cotton under dryland cultivation.

It must be emphasized, however, that these studies shed light on the effect of extreme heat, given the baseline or average climate conditions prevailing over the study period. They say little about how episodes of extreme heat would affect agricultural yields under hypothesized future climate conditions in which average temperatures are higher and the growing season is longer (and drought perhaps more frequent). Under such a hypothetical future climate, northern regions in the United States would become similar to today’s U.S. southern regions. Were this to occur, one would expect that northern U.S. farmers would adapt to the new baseline climate, significantly ameliorating the effect of such climate change on agricultural output.

Regulation - Spring 2016 - Article 4 - Figure 5

To see the possibility for such adaptation, consider U.S. corn production. Evidence indicates that the deleterious effect of extreme heat on corn results from water stress. Thus the most obvious adaptation for corn growers would be greater use of irrigation. When Tianyi Zhang et al. looked at agricultural production for corn, soybeans, and wheat over the period 1981–2012 in central U.S. counties where there is a mix of both irrigated and rain-fed fields, they found that irrigated corn and soybean fields were much less sensitive to episodes of extreme heat than were rain-fed fields. Irrigation eliminated about two-thirds of the negative effect of episodes of extreme heat for corn and soybeans. (The authors did not find similar successful use of irrigation for wheat.)

Irrigation is not the only possible adaptation. Looking at corn yields for the period 1981–2012 in eastern (non-irrigated) states, Ethan Butler and Peter Huybens found that whereas an increase in extreme temperature days (what they call “killing degree days”) had an adverse effect on crucial grain-filling stages in northern states, those same days increased the grain-filling period in southern states. Butler and Huybens note that corn hybrids in southern states are more effective in ameliorating the effect of extreme temperatures on corn yields.

Why haven’t northern farmers adopted the same techniques as their southern counterparts? Butler and Huybens speculate that southern methods of growing corn—planting about a month earlier and using tropical or temperate-tropical varieties—may only be “physiologically feasible” under “warmer conditions, possibly because of a longer growing season.” In other words, they answer that it may be feasible for northern corn farmers to change corn types and planting schedules only when the northern states’ climate—meaning average temperatures and the length of the growing season—more closely resembles that of the southern states.

If such a change in climate would occur, then economic history teaches that northern farmers would almost surely adopt the practices now pursued by southern farmers, significantly lessening the effect of temperature extremes on corn yield. As explained by Alan Olmstead and Paul Rhode, when American settlers spread wheat cultivation westward to the Great Plains in the latter part of the 19th century, they encountered a much drier climate with much greater variation in winter and summer temperatures. Mistaking unusually wet years during the 1880s as the norm, early wheat cultivations ended in abject failure. By the time of the first reliable wheat variety survey in 1919, however, farmers in the Great Plains grew almost entirely hard red spring and winter wheats that had been unknown to North America prior to the 1850s. Adaptation to the radically different Great Plains climate took decades, but eventually succeeded.

Models that calculate the current relationship between temperature and rainfall capture—at best—only the optimal adaptations of farmers to existing climatological conditions. The more dramatically future temperatures will change, the more dramatic will be the change in northern farming practices. Predicting adaptation to radically different future climate regimes cannot be done from models based on historical data.

“Climate and…” / While empirical studies of the effect of climate on agriculture tell us little about possible future long-term adaptation to changing climate, they at least include other causes of variation in agricultural output besides temperature. Such controls are often absent from highly publicized and influential studies of the effect of climate on non-agricultural damages.

One prominent example is the relation between climate and climate-related diseases such as malaria. One can find published studies that posit a simple relationship between average temperature, precipitation, and malaria. The studies conclude that if temperatures increase, then malaria incidence will increase.

But estimates of the short-run cross-sectional relationship between malaria and temperature are not relevant to estimates of long-term climate change and malaria incidence. Peter Gething and colleagues examined global malaria endemicity between 1900 and 2007 and found a “decoupling” of the climate-malaria relationship over the 20th century. They concluded that non-climatic factors—such as direct disease control and the indirect effect of urbanization and economic development—were much more important in explaining the declining geographic extent and intensity of malaria worldwide during the 20th century than was climate.

Lena Huldén and colleagues find that while increases in national per-capita income do have a large effect in reducing malaria rates, the biggest decrease came from reducing the average size of the household below four. Most strikingly, when other variables such as income and latitude were controlled, an increase in mean annual temperature actually decreased malaria frequency, while use of the pesticide DDT had a negative effect only when household size was not included as an explanatory variable.

The relationship between climate and disease is only one of many such “climate and…” relationships that have been empirically estimated using techniques that have a much too narrow and short-term focus to provide useful inferences about climate change and damages. For example, Marshall Burke and colleagues estimate a positive relationship between rising temperatures and the incidence of civil war. In subsequent work with the same dataset, however, Halvard Buhaug found that the result depended entirely on using country dummy variables (country fixed effects) as a proxy for country-specific explanations for civil war and a time-trend variable that did not vary across countries. When Buhaug dropped those from the regressions, temperature was no longer statistically significant; even when the country fixed effects and time variable were included, temperature explained less than 1 percent of the variance in civil war incidence. When Buhaug looked at a much larger set of civil wars—including armed intrastate conflicts with fewer than 1,000 deaths per year—and included not just average temperature but also temperature shocks (measured as deviations from annual means), he found that civil war risk increased as national GDP per capita declined, as the share of the population excluded from political influence increased, and that baseline risk of civil war in sub-Saharan Africa jumped with the collapse of the cold war system. These results were consistent with what political scientists had already discovered about the determinants of civil war in sub-Saharan Africa, but would be missed in a study that focused too narrowly on climate alone.

Perhaps the most serious problem in many simple “climate and…” empirical studies is that they fail to consider how underlying policies have contributed to determining the observed effect of climate. If one does not isolate the effect of policy and policy change on climate change, then one will fail to see that policy change itself is one way to alter the future effect of climate.

One of the most widely cited papers ever published on climate change effects is a simple regression by A.L. Westerling and colleagues showing a positive and statistically significant relationship between average summer temperatures and the number of large (500 hectares or bigger) wildfires in the western United States. But as Jonathan Klick and I pointed out in a 2012 paper, U.S. policy regarding wildfires underwent a dramatic transformation during the 1970–2010 period studied by Westerling and colleagues. The U.S. Forest Service (the agency with primary wildland fire-fighting responsibility) moved from a longstanding policy of putting out every wildland fire as quickly as possible to one where the first response to wildfires in more remote, higher-elevation mountain locations was to allow the fire to burn if it did not threaten human habitations. Thus the omission of a variable measuring policy change would be expected to bias the estimated relationship between summertime average temperature and the number of western wildfires. When we included such a policy variable in regressions explaining the incidence of large western wildfires, they found that summertime temperature had a smaller effect on wildfire incidence.

Another important policy change that affects agricultural output is crop insurance. Farmers can increase the yield of water-sensitive crops such as corn and soybeans by practicing conservation tillage—practices that leave more crop residue on the field after harvest. But the provision of subsidized crop insurance reduces the incentives of farmers to engage in such practices. During precisely the period of late 20th century warming in surface temperatures, roughly 1980–2010, the U.S. Congress greatly increased both the coverage of federal crop insurance and disaster payments, with major expansions in crop insurance subsidies in 1980, 1994, and 2000. According to Karina Schoengold and colleagues, a substantial body of research concludes that crop insurance incentivizes farmers to plant more acres and reduce costly risk-reducing crop rotations. When they carefully controlled for this, they found that over the period 1990–2004, when insurance and disaster payments are included as explanatory variables, the number of recent drought years actually decreased the use of no-till and other conservation tillage practices.

While the work by Schoengold and colleagues looked at episodes of drought, Schlenker extended his own work on the effect of extreme temperature on corn and soybean yield to control for the fraction of the crop that was federally insured. He found results that are consistent with those obtained by Schoengold and colleagues. The sensitivity of corn yields to extreme heat was 67 percent larger for insured corn than uninsured corn, and 43 percent larger for insured soybeans versus uninsured soybeans.

Flawed and arbitrary SCC estimates, which likely overstate warming costs, are already being used in Regulatory Impact Analyses that justify greenhouse gas emission regulation under the Clean Air Act.

Disaster aid and crop insurance insulate farmers from damage that occurs during drought and cut their incentive to adapt to episodes of drought and extreme heat. Omitting such policies from empirical studies of the effect of drought and extreme heat on agricultural output confounds bad policy with the direct effect of climate change.

THE SCC AND CLIMATE CHANGE POLICY

As researchers increasingly recognize that climate is only one of many important factors contributing to various measures of human well-being, SCC estimates based on such empirical work are likely to continue to fall. The problem, however, is that flawed and arbitrary SCC estimates, which likely overstate warming costs and therefore the marginal benefits of GHG emission reductions, are already being used in Regulatory Impact Analyses that justify GHG emission regulation under the Clean Air Act. This represents a failure on the part of the institutions responsible for developing and then auditing the SCC as an estimate of the benefits of GHG emission reduction.

Nowhere in the IWG technical support documents on the SCC does one find an attempt to open the hood on IAM estimates and ask whether they have sound economic foundations. Instead, the IWG runs IAMs under various assumptions regarding the discount rate and future climate sensitivity, thus producing a continuous distribution of SCC estimates. This is better than just producing point estimates, but of limited policy usefulness because the point estimates are still there, to be used in cost-benefit analysis.

One might have thought that the recent National Academy of Sciences panel reviewing the IWG’s SCC estimates might have remedied this by taking a close look at the economic foundations (or lack thereof) for the estimates. But the NAS report does not do this. Indeed, the most thorough and informative part of the report is the discussion of the physical science of climate sensitivity estimates. The economic analysis is otherwise quite similar to the IWG’s own analysis and, unsurprisingly, the NAS report concludes that there is no reason to update SCC estimates used in regulatory cost-benefit analyses.

There is every reason to be optimistic about advances in the economic analysis of the role of climate as a factor influencing human well-being. There is, unfortunately, much less reason to be optimistic that those advances will influence the cost-benefit analysis of climate change policy. To the extent that career EPA officials have a normative commitment to GHG emission reduction, they will obstruct a continuous process of SCC revisions that might weaken the case for such emission reductions. Even if some future IWG were to reduce SCC estimates, such a revision would not in and of itself legally require revision of major GHG emission regulations justified (in part) by earlier, higher SCC estimates.

Judicial scrutiny / One might wonder whether the federal courts might play a role in forcing adaptive revision of SCC estimates. Although academic commentators decry the trend, some prominent federal courts have become much less deferential than they traditionally have been to agency determinations of technical matters such as cost-benefit analysis. In cases such as Business Roundtable v. SEC, the courts have closely scrutinized agency cost-benefit analyses, critically analyzing not only the agency’s own presentation of costs and benefits, but also sometimes the weight the agency attached to peer-reviewed scientific work that raised skepticism of the case for regulation. It is possible that a federal court would similarly scrutinize SCC estimates if they were used by the EPA to justify future GHG emission reduction rules as reducing a substantial risk to human health and welfare.

In the climate change arena, however, such a possibility seems remote. When it comes to GHG emission reduction regulations, the federal courts have been extremely deferential to anything that the EPA says about climate science. It is true that last year, in Michigan v. EPA, the Supreme Court struck down EPA regulations requiring reductions in mercury emissions from power plants. But that was because the EPA argued that it could determine whether such reductions were “appropriate” (the statutory standard) without considering their cost. The SCC estimate is only one of many measures the EPA has adduced to show that there are benefits from GHG emission reduction. The question is when, if ever, federal courts will actually inquire into the methodologies the EPA and IWG have used to compute those benefits.

If the agencies and the courts will not intervene, the only feasible institutional pathways for change are Congress and the executive branch. The executive branch, in the form of the Office and Management and Budget (and in particular the Office of Information and Regulatory Affairs), might prepare revised estimates of the benefits and costs of existing GHG emission regulations based on newly published SCC estimates. Were an administration so inclined, it could take those estimates to Congress and mount a case for the passage of a statute requiring the EPA to consider the new SCC estimates in revising existing GHG emission reduction regulations—or else a statute specifically changing existing regulations. Whether an administration would ever initiate such a process, let alone its outcome, would require the alignment of future political interests that are highly unpredictable.

The long and short of this analysis is that, however much SCC estimates might improve over time with further work by both economists and physical scientists, those being used now, when GHG emission regulations are being promulgated, might be the only ones that will ever face court scrutiny. If initial SCC estimates suffice to allow GHG emission regulations to survive both OMB and judicial review, then for practical purposes it might never make any difference how wrong those initial SCC estimates might have been. Even if economists discovered that the earlier FUND IAM model was actually correct, with positive net benefits—that is, a negative SCC—from global warming up to about 2°C, that new knowledge might have no influence on policy. Whatever influence it has on policy will depend entirely on the ability to transmit its central message to political actors in the executive branch and Congress.

Readings

  • “A Farmer’s View of the Ricardian Approach to Measuring Agricultural Effects of Climate Change,” by Roy Darwin. Climate Change, Vol. 41 (1999).
  • A Question of Balance: Weighing the Options on Global Warming Policies, by William D. Nordhaus. Yale University Press, 2008.
  • “Average Household Size and the Eradication of Malaria,” by Lena Huldén, Ross McKitrick, and Larry Huldén. Journal of the Royal Statistical Society, Series A (2013).
  • “Climate Change and the Global Malaria Recession,” by Peter W. Gething, David L. Smith, Anand P. Patil, Andrew J. Tatem, Robert W. Snow, and Simon I. Hay. Nature, Vol. 465 (2010).
  • “Climate Not to Blame for African Civil Wars,” by Halvard Buhaug. Proceedings of the National Academy of Sciences, Vol. 107, No. 16477 (2010).
  • “Cost-Benefit Analysis of Financial Regulation: Case Studies and Implications (revised 2014),” by John C. Coates IV. Yale Law Journal, Vol. 124, No. 4 (Jan.–Feb. 2015).
  • “Current Irrigation Practices in the Central United States Reduce Drought and Extreme Heat Impacts for Maize and Soybean, but Not for Wheat,” by Tianyi Zhang, Xiaomao Lin, and Gretchen F. Sassenrath. Science Total Environment, Vol. 508 (2015).
  • “DICE 2013R: Introduction and User’s Manual 11–12,” by William D. Nordhaus and Paul Sztorc. 2013.
  • “Estimates of the Social Cost of Carbon: Concepts and Results from the DICE-2013R Model and Alternative Approaches,” by William Nordhaus. Journal of the Association of Environmental & Resource Economists, Vol. 1, No. 1 (2014).
  • “Estimating the Social Cost of Carbon for Use in U.S. Federal Rulemakings: A Summary and Interpretation,” by Michael Greenstone, Elizabeth Kopits, and Ann Wolverton. MIT Economics Department Working Paper 11–04, 2011.
  • “Federal Crop Insurance and the Disincentives to Adapt to Extreme Heat,” by Francis Annan and Wolfram Schlenker. Columbia University working paper, 2014.
  • “Fire Suppression Policy, Weather, and Western Wildland Fire Trends: An Empirical Analysis,” by Jason Scott Johnston and Jonathan Klick. In Wildfire Policy: Law and Economics Perspectives, edited by Karen Bradshaw and Dean Lueck; Routledge, 2012.
  • Lukewarming, by Patrick Michaels and Paul Knappenberger. Cato Institute, 2015.
  • “Nonlinear Temperature Effects Indicate Severe Damages to U.S. Crop Yields under Climate Change,” by W. Schlenker and M.J. Roberts. Proceedings of the National Academy of Sciences, Vol. 106 (2009).
  • “Responding to Climatic Challenges: Lessons from U.S. Agricultural Development,” by Alan L. Olmstead and Paul W. Rhode. In The Economics of Climate Change: Adaptations Past and Present, edited by Gary Libecap and Richard Steckel; National Bureau of Economic Research, 2011.
  • “The Critical Role of Extreme Heat for Maize Production in the United States,” by David B. Lobell, Graeme L. Hammer, Greg McLean, Carlos Messina, Michael J. Roberts, and Wolfram Schlenker. Nature Climate Change, Vol. 3 (2013).
  • “The Economic Impact of Climate Change,” by Richard S. Tol. Journal of Economic Perspectives, Vol. 23, No. 2 (2009).
  • “The Impact of Ad Hoc Disaster and Crop Insurance Programs on the Use of Risk-Reducing Conservation Tillage Practices,” by Karina Schoengold, Ya Ding, and Russell Headlee. American Journal of Agricultural Economics, Vol. 97 (2014).
  • “The Impact of Global Warming on Agriculture: a Ricardian Analysis,” by Robert Mendelsohn, William D. Nordhaus, and David Shaw. American Economic Review, Vol. 84, No. 4 (1994).
  • “The Implications for Climate Sensitivity of AR5 Forcing and Heat Uptake Estimates,” by Nicholas Lewis and Judith A. Curry. Climate Dynamics, Vol. 45, No. 3 (2015).
  • “Transient Temperature Response Modeling in IAMs: The Effects of Over Simplification on the SCC,” by Alex L. Marten. Economics E‑Journal, No. 2011–18 (Oct. 20, 2011).
  • “Variations in the Sensitivity of U.S. Maize Yield to Extreme Temperatures by Region and Growth Phase,” by Ethan E. Butler and Peter Huybers. Environmental Research Letters, Vol. 10, No. 3 (2015).
  • “Warming and Earlier Spring Increase Western U.S. Forest Wildfire Activity,” by A.L. Westerling, H. Hidalgo, D.R. Cayan, and T.L. Swetnam. Science, Vol. 313, No. 940 (2006).
  • “Warming Increases the Risk of Civil War in Africa,” by Marshall B. Burke, Edward Miguel, Shankar Satyanath, John A. Dykema, and David B. Lobell. Proceedings of the National Academy of Sciences, Vol. 106, No. 20670 (2009).
  • Warming the World: Economic Models of Global Warming, by William D. Nordhaus and Joseph Boyer. MIT Press, 2000.
  • “Will U.S Agriculture Really Benefit from Global Warming? Accounting for Irrigation in the Hedonic Approach,” by W. Schlenker, W.M. Hanemann and A.C. Fisher. American Economic Review, Vol 95, No. 1 (2005).